Indholdsfortegnelse
I princippet skal vinkelmåleren og linealen lægges i skuffen nu.
Nu skal du regne dig frem til vinkler og sider – og IKKE måle dig frem.
Til at starte med skal du kun arbejde med retvinklede trekanter.
Det gælder for retvinklede trekanter, at hvis man har to oplysninger, så kan man beregne alle øvrige vinkler og sider i den retvinklede trekant.
9.1 Pythagoras sætning
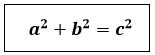
Pythagoras sætning gælder kun i en retvinklet trekant, og Pythagoras har kun noget med sidelængder i en retvinklet trekant at gøre – ingen vinkler. Det kan man også se af formlen for Pythagoras sætning, som lyder:

hvor a og b er kateter, og c er hypotenusen.

I det følgende vil jeg vise eksempler på, hvordan man bruger Pythagoras sætning i en retvinklet trekant til at bestemme:
- længden af hypotenusen i en retvinklet trekant
- længden af en katete i en retvinklet trekant
- om trekanten er retvinklet
9.2 Pythagoras sætning – beregn hypotenuse
Pythagoras gælder kun i retvinklede trekanter og bruges, når man skal beregne en sidelængde.
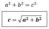
Det nemme eksempel er at beregne hypotenusen:
Når man skal beregne længden af hypotenusen, skal man bruge formlen:

Husk på, at hypotenusen altid betegnes c i den retvinklede trekant.
Regn opgave 901 – 902
Regn opgave 903 – 904
9.3 Pythagoras sætning – beregn katete
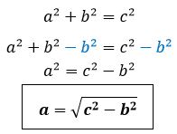
Det svære eksempel er at beregne en katete:
Når man skal beregne længden af en katete, skal man bruge formlen:

Husk på, at hypotenusen altid betegnes c i den retvinklede trekant.
Regn opgave 905 – 908
Regn opgave 909 – 910
9.4 Pythagoras sætning – er trekanten retvinklet?
Pytagoras sætning kan også bruges på en anden måde, nemlig til at bestemme om en vinkel er ret eller ej.
Hvis Pythagoras sætning gælder for trekantes sider, så er trekanten retvinklet.

Regn opgave 911
[WpProQuiz 10]















































