Indholdsfortegnelse
Geometri
Firkanten
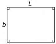
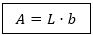
Rektangel
Et rektangel har fire rette vinkler.

Rektanglets sider kaldes også længde og bredde.
![]()
Kvadrat
Et kvadrat er et rektangel, hvor alle fire sider er lige store.
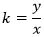
Parallelogram
Et parallelogram er en firkant, hvor de modstående sider er parallelle.

Arealet af et parallelogram er givet ved:
![]()
I et parallelogram gælder, at:
– modstående sider er lige store.
– modstående vinkler er lige store.
– diagonalerne halverer hinanden.
Rombe
En rombe er et parallelogram, hvor de fire sider er lige store. Arealet af en rombe er det halve af diagonalernes produkt.
Trapez
For et trapez gælder, at de to sider a og b er parallelle.

Arealet for et trapez er givet ved:
![]()
Cirklen



Trekanten
Trekant
Når man skal beregne arealet af en trekant, kan højden ligge indenfor og udenfor trekanten.
I en spidsvinklet trekant er alle vinkler spidse, og højden ligger inde i trekanten:

I en stumpvinklet trekant er én af vinklerne stump. Her ligger højden udenfor trekanten:

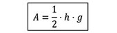
I begge tilfælde er arealet er givet ved:
![]()
I en ligebenet trekant er to af siderne lige store. I en ligbenede trekanter er vinklerne ved grundlinjen lige store.
I en ligesidet trekant er alle tre sider lige store. I ligesidede trekanter er alle vinkler lig med 60 º.
Midtnormal

m er midtnormalen til siden AC.
M er midtpunkt af AC.
Trekantens omskrevne cirkel

Hvis man på samme måde indtegner alle der tre siders midtnormaler, kan man tegne trekantens omskrevne cirkel.
Vinkelhalveringslinje
En vinkelhalveringslinje halverer vinkelen i to lige store vinkler.

vA er vinkelhalveringslinjen for vinkel A.
Trekantens indskrevne cirkel
Hvis man på samme måde indtegner alle tre vinkelhalveringslinjer, så kan man tegne trekantens indskrevne cirkel.

Median

mc er medianen fra C til midtpunktet M af AB.




























